Un berceau de fortune et ses équations
Introduction
La nécessité se faisant sentir, et le temps se faisant précieux, j'ai confectionné vite-fait bien-fait un support en bois permettant de convertir une nacelle en berceau : on pose la nacelle dessus et hop voilà un berceau !
Réalisation
Rien de bien sorcier:
- 4 planches, deux pour la plateforme, deux pour les patins courbes;
- des clous, pour assembler le tout.
Pour le tracé de la courbure des patins: 3 pointes et un réglet courbé entre les 3 pointes.
Ensuite, ébauche à la plane (résineux = tendre, on peut donc travailler le bois sec également) et finition de la courbure au rabot, les deux patins en même temps pour avoir des courbes identiques.
Pose d'une bande polymère mince (PVC ?) sous les patins, agrafée sur les côtés, pour la douceur du roulis et surtout éviter le glissement au sol. On vise le roulement sans glissement ni dérive.
De la courbure du réglet
La théorie suppose que la courbure du patin est un arc de cercle.
Dans la pratique, j'ai utilisé un réglet courbé entre trois pointes pour tracer la courbe.
Mais le réglet courbe décrit-il un arc de cercle ?
Si on se fie à la théorie de la RDM (résistance des matériaux):
xr6805.fr/scho...rme/deforme.htm
la réponse est non. L'équation de la flèche, ou déformée, ce qui est la même chose, est:
$$y(x) = \frac{F}{2EI}(x^3/6-L^2/8x)$$
Avec: F la force, E le module élastique, I le moment quadratique, L la longueur et x l'abscisse. Ce n'est pas l'équation d'un cercle.
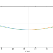
D'ailleurs, quand on superpose un cercle et cette courbure particulière, ben ça colle pas (voir graphique ci-dessous).
Et plus la courbure sera importante, plus l'écart avec l'arc de cercle sera grand.
Et quand on superpose le patin réel et les courbes, on est très proche de la déformée RDM, et pas du cercle (j'ai bien suivi le trait avec le rabot
).
De la période propre des oscillations
Une fois le berceau fait, je me suis dit qu'il devait bien exister une formule pour prédire la période des oscillations. Tadam, tous le développement des équations par ici:
mathpages.com/...24/kmath524.htm
En résumé, c'est comme pour le pendule simple, la période des oscillations dépend uniquement d'une longueur et de la gravité g.
Dans notre cas:
$$ T = 2\pi \sqrt{R/g}$$
où R est le rayon entre le centre de courbure du patin et le centre de masse. Si on considère R=34cm (voir plan, je néglige la masse du berceau et considère uniquement la masse de l'être humain dedans), ça donne une période de 1.17s.
Expérimentalement, je trouve une période propre d'oscillations entretenues d'environ 1s.
Compte tenu de l'incertitude sur la position réelle du centre de masse de l'ensemble, et le patin qui n'est pas un véritable arc de cercle, on peut dire que c'est le bon ordre de grandeur et qu'on ne va pas se formaliser sur les 20% d'erreur.
La formule peut servir pour prédimensionner la chose !
La morale de cette histoire
- Le berceau berce, c'est efficace, ça calme et endors
; - L'amortissement est important: on ne peut espérer qu'une ou deux oscillation une fois lancé. Cela est dû à la non rigidité stricte du chargement -le bébé- et au fait qu'il n'est pas solidaire du berceau. Éventuellement, dans une moindre mesure, le contact imparfait un peu mou sous les patins;
- Il faudrait ajouter une excroissance sur le patin pour mieux arriver à actionner le berceau au pied !;
- J'ai redécouvert, au grès de mes recherches, l'optimisation du rocking chair pour qu'il balance tout seul au rythme de la respiration de l'occupant, ça donne envie ! How-to Make a Rocking Chair Rock.
Voir également pour plus de détails:

Discussions
Bienvenue à l'heureux bénéficiaire de ces savants calculs
Merci. Ils sont deux ! Disons que ça occupe bien...
alors double dose de bonheur, de courage, de patience, d'émerveillement, de nuits calmes...

Grand fou, va !
Et encore, quand je me suis dit que je pourrais tracer l'erreur entre cercle et déformée du réglet en fonction de l'importance de la courbure, là je me suis dit qu'il fallait arrêter et que j'allais y passer plus de temps que les 30min pour faire le berceau !
Sympa ! Mais du coup maintenant la question qui me taraude c'est "pourquoi est-ce que bercer les bébés les appaise ?"
Je n’avais jamais remarqué auparavant que tu étais aussi pertinent en maths!
Bravo pour la réalisation, félicitations pour les bouts de choux, et COURAGE pour les nuits!
J'ai une formation universitaire en mécanique, et c'est maintenant mon boulot, cela m'a amusé de chercher comment marchait un berceau/rocking chair.
Argh, je n'ai pu mettre qu'un
mais rien que pour les équations je t'en donnerais 1000 !
Bravo pour ces recherches mathématiques de haute volée !
Les recherches mathématiques ont réussi à me bercer juste en les lisant !

Félicitations ! Et bonnes nuits !
vite fait bien fait, quelle blague, combien d'heures de conception?
ah ben félicitations, je me réjouis des prochaines créations vite fait bien fait
combien d'heures de conception?
cela ne nous regarde pas
combien de mois,pardon
Ahah félicitations à toi ! T'inquiète pas, de toute façon le bébé finit toujours par s'endormir dans les bras, pas dans le berceau
Merci. Oui, on en vient toujours aux mains