Bonjour à tous,
En gros la méthode des éléments finis déplacements dite aussi méthode primale est basée sur un choix de déplacement cinématiquement admissible c'est à dire qui vérifie les conditions de la cinématique. Une fois trouvée la solution aux noeuds des déplacements ou des dérivées n ièmes des déplacements (qui bien entendu ne sont qu'approchés) on évalue les (tenseurs des) déformations et les (tenseurs des) contraintes. Celles ci sont inexactes car elles ne vérifient pas les équations d'équilibre en chaque points des éléments, ce sont donc des contraintes au rabais. Et avec ces contraintes on évalue les critères de plasticité.....!!!
Pour avoir les vraies contraintes il faut choisir un champ statiquement admissible, c'est la méthode duale. En 1987 j'ai rassemblé ce qui avait été fait par différents auteurs et l'ai transcris à ma sauce avec de vrais mathématiques incompréhensibles par les gens de l'Onera, sauf par mon maître (décédé actuellement mais compris par très très peu de gens dans sa vie), et par moi même qui ai fait l'effort de suivre sa trace. Je donne ce que j'avais fait à l'époque, en soulignant que j'y ai passé du temps .
Auparavant un copain de L'Onera avait fait toute une étude avec des méthodes primales et duales et il a trouvé des contraintes nettement différentes et bien meilleures (vérifiées expérimentalement) que celles trouvées avec des logiciels du commerce. Les contraintes du commerce sont acceptables dans les zones peu contraintes mais sont absolument inexactes dans les zones de concentration de contraintes, et même s'il y a des méthodes pour les améliorer ça reste tout de même des évaluations.
J'avais envoyé un mail à un Finlandais pour lui expliquer cela....en Anglais bien entendu et je n'ai pas eu le courage de traduire
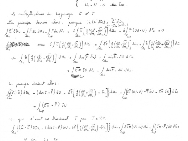
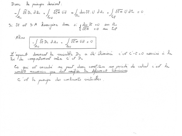
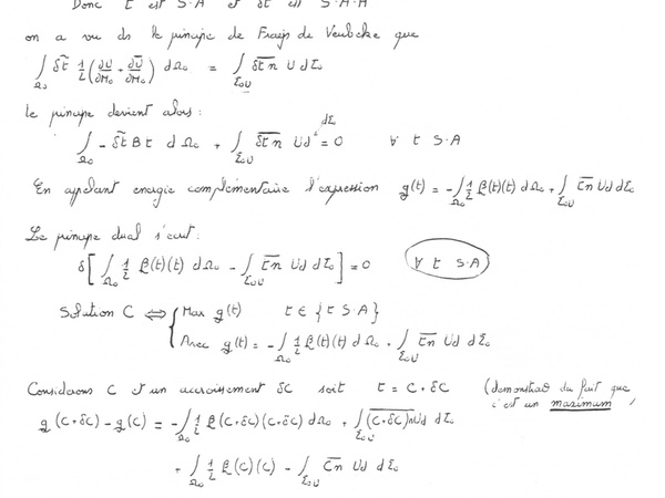
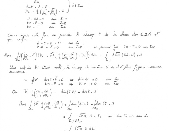
suite
suite
suite
suite
suite
suite
suite
suite
suite
suite
szuite
9 réponses
CALCULATE c'est quoi que tu appelles methode des déformations ? C'est l'approche qui formule le problème en discretisant seulement les déformations ? Dans mes souvenirs d'école on discretisait presque systematiquement les deux champs, enfin c'est ce qui m'est resté 
Plutôt que de parler de "contrainte au rabais", l'ingénieur se poserait plutôt la question "a quel point suis-je faux ?". Sachant que que je vais mettre un facteur au moins deux pour m'affranchir des cas de tempêtes ou de situation exceptionnelle, des defauts du bois ou des assemblages, ou plus si il y a de la fatigue a prendre compte par ex, je me contrefiche d'une erreur de moins de 10%. Après quand on se donne peu de sécurité (typiquement l'aero), il faut mutiplier la qualité partout, les matériaux doivent être totalement exempts de defauts, solicitations précisément connues, montage rigoureux, entretien minutieux
Le calcul mathématique, est la seule science exacte à mon gout, et je ne reviendrais pas sur ce remarquable travail d’érudit que tu présentes !(perso je suis largué) 
Par contre empiriquement un charpentier calcule rarement une charpente, et sait par expérience que tel ou tel pièce de bois doit être augmentée !
Je veux bien entendre que passer des heures de calcul pour un poteau par exemple, donne la section idéale, mais si ce calcul me donne un poteau chêne de 12/12 sans déformation (ex bidon) et que je vais de toute façon mettre un poteau de 15/15 ou 20/20 par expérience (solidité et esthétique en apparent) , qui résistera à + 30 tonnes , et qu'il portera que 2,5 tonnes ? quid de l'utilité dans 95 % des cas ?
Dans l'absolu, les charpentes traditionnelles (professionnelles) bien triangulées et assemblées, sont toutes surdimensionnées et indéformables , disons de ce j'ai perçu dans ma carrière !
Apres en ingénierie de grandes dimensions et en lamellé collé par exemple, je ne suis pas compétant, mais ici tes travaux me semblent trouver leurs places ! 
Bonjour,
C'est là que je vois que j'ai bien fait de devenir ébéniste...
C'est clair que je n'ai jamais à me poser de questions de résistance ou de structure.
On ne fait bien souvent que reproduire empiriquement ce que d'autres ont fait bien mieux dans les siècles précédents...
Pourtant au départ, j'ai fait une grande école d'ingénieur, après une classe préparatoire, et même si ce dont vous parlez résonne très loin dans ma mémoire, j'ai sans doute eu la connaissance pour l'appréhender en sortie de prépa, mais je me suis empressé de tout oublier une fois mon concours obtenu (oui, je sais c'est mal).
Par contre, votre passion et la qualité de votre travail se ressent dans la façon dont vous le défendez. Et vous devriez suivre le conseil de Kentaro : Proposer vos méthodes à des éditeurs de logiciel de calcul.
Merci pour cette belle leçon qui, comme expliqué dans ton introduction, n’a pas été comprise par nombre cerveaux bien constitués de l’onera aussi que dire de bêtes mangeurs de copeaux comme ici, dont le bulbe souffre de sous oxygénation liée à un empoussièrement chronique des bronches...
N’ayant pas vu de question en dehors de celle de l’élastoplasticité du bois, peut-être vaut-il mieux mettre cette publication dans un pas à pas?
A la lecture de ta prose, 3 questions,
Faut-il détruire l’ensemble des bâtiments calculés par la théorie des poutres ou, a minima payer un surcroît d’assurance pour l’insoutenable incertitude que ces derniers ne s’écroulent sur nos têtes creuses?
Tu n’acceptes pas 10% d’erreur... Tu as donc la connaissance absolue ?
Le bois est un matériau très très simple,… sûr de ça ?
Bonjourà tous,
Attention je n'ai proposé les documents que j'ai crée quand j'avais 37 ans uniquement pour mettre en garde les gens de se méfier des méthodes d'éléments finis qui font tout selon certains, mais en fait qui sont, d'une part assez jeunes, et d'autres part pleines d'erreurs, en particulier pour les contraintes dans les méthodes de déplacements (les méthodes de déformations n'existent pas désolé Benjams, et les méthodes primales et duales sont dans mes documents très bien expliquées). Je n'ai jamais voulu démonter les ingénieurs qui utilisent la RDM ou la statique graphique, ou qui font des expertises à leur manière. Chacun fait ce qu'il peut et ce qu'on lui demande. Par contre ce que je n'accepte pas c'est qu'une personne qui fait son job, de bois par exemple, critique une autre personne parce qu'elle ne comprend pas ses dires. S'il n'y avait pas des gens comme moi il n'y aurait pas de programmes informatiques pas de CAO....etc, les mathématiques que vous employés sont erronées, je ne les ai jamais employé car la géométrie d'Euclide est inexacte.
Moi je considère que la RDM en général est inexacte à tous points de vue et dans ma carrière je ne m'en suis jamais servi, maintenant si vous souhaitez l'utiliser.....libre à vous. Certains estiment qu'une erreur de 10% est acceptable, peut être pour le bois c'est acceptable, pour moi non (et en plus les erreurs sur les contraintes sont bien supérieures à 10%) . Quand vous travaillez sur les appareils à pression ou les centrales nucléaires on calcule au plus juste et je vous assure que l'on prend toutes les précautions. On n'est pas du même monde c'est tout !!! J'ai fait 5 ans pour être ingé et 5 autres années pour finir mes études, puis 35 ans de développement, d'enseignement..et après cela j'ai le droit de considérer un ingé (grande école de niveau 1) comme quelqu'un qui a tout à apprendre non, car je suis passé par là ?
Le bois pour moi c'est très très simple, imaginez les calculs d'usinage en grandes transformations, ou le couplage fluide structure en grandes transformations que l'on maîtrise depuis une quinzaine d'années ....et une foule d'autres choses qui ne sont pas correctement comprises aujourd'hui comme les problèmes de flambement dynamique qui ne sont pas encore résolus (j'y ai passé deux années la dessus et j'ai connu des gens qui ont passé 7 ans....alors le fluage...et le reste que l'on maîtrise parfaitement !!!!!
Le bois je ne connais que les grandes constructions qui utilisent des méthodes modernes, mais le peu de choses écrites sur ce forum étaient très incorrectes selon moi, et même avec de l'expertise. Par contre il y a des questions d'assemblage de petites structures ou je me pose de sérieux problèmes. mais je n'ai jamais critiqué personne, car si cela vous suffit. Je donnerai un jour un cours de mmc que j'ai fait en fac il y a 30 ans, pendant environ 5 années et vous verrez qu'il y a un abîme entre la mmc et la RDM.
Pourquoi est ce que j'ai tenu à signaler qu'il y avait de grossières erreurs sur les contraintes (ho le vilain mot qui ne veut rien dire je montrerai un jour pourquoi il faut dire tenseur des contraintes) parce qu'après avoir fait de l'élastoplasticité je me suis rendu compte que les critères de plasticité étaient donnés avec les composantes du tenseur des contraintes, et que si celles ci étaient inexactes alors tout le reste aussi....d'ou les méthodes duales. Bon l'élastoplasticité ne doit pas exister en bois (je n'en sais rien c'est une question), mais dans les appareils sous pression on l'utilise souvent.
A plus tard
CALCULATE
Ta démonstration, au demeurant juste semble négliger trois éléments important.
La Triblogie.
Ou comme dirait Dumas que se passe-t-il 20 ans apres entre Mazarin et Cromwell
Le facteur Humain.
Et l'esthétique.
comment ça c'etait pas lui ? 





Hmm ... j'ai peur que ça manque un peu de contextualisation pour que j'y vois le sens du message.
Mais y a-t-il une volonté de question ou souhaites-tu juste proposer tes recherches à la communauté ?
Boris Beaulant je pense que c'est un don. En 1987 je naissais, j'ai plus qu'a me remettre aux maths
Boris Beaulant Cela fait suite à des discussions sur le calcul des charpentes, théorie des poutres, calcul par éléments finis, etc...
Je pense aussi et j'ai peur qu'ici dans la section des questions, ce don se perde au milieu du reste.
Kentaro ok, merci !
Bonjour à tous,
Bon j'ai fait ce truc il y a 34 ans, en ayant tout le temps voulu et des tas de journaux scientifiques à ma disposition. Aujourd'hui je ne me souviens plus du tout de ce que j'ai consulté, mais je voulais informer les gens de la dangerosité de l'application des méthodes d'éléments finis sans aucune connaissance, et principalement sur ce qui nous intéresse c'est à dire les contraintes.
Alors ou mettre ce texte si ce n'est dans les questions ?
Ok
Les articles proposant un "savoirs" vont plus trouver leur place dans la rubrique "Pas à pas". Il y en a déjà pas mal d'autres.
Je me permets de faire remarquer que cela manque de contexte et surtout de bibliographie scientifique associée. Cela permettrait de mieux cerner l'état de l'art et les enjeux...
Voici ce que j'ai pu trouver après une recherche rapide, toutefois il me semble qu'il faudrait en rajouter et que vous êtes la personne la plus à même de le faire.
...
Ensuite, il faudra déposer le texte sur une archive scientifique plutôt que sur l'Air du Bois, qui n'est évidemment pas le meilleur lieu pour cela...
Ouahhhh
J'ai une formation d'ingé mécanique et là, j'avoue que je ne pensais plus voir des d ronds depuis ma reconversion en menuiserie!!! et encore moins ici...
J'avoue ne pas avoir tout lu, mais je ne pense pas que ce soit le lieu idéal : les questions appellent des réponses et là, j'ai l'impression que tu t'es lancé dans un grand chantier sans expliquer assez...
Fais une introduction pour expliquer ta démarche, que tu parles de charpente etc... et fais peut-être un pas-à-pas plutôt qu'une question...
Bon courage à toi!